The characteristic curve of the pump -refers to the relationship between the pump (that is, the energy supply of the pump) and the flow of flow.Ruite brings you a detailed explanation
- The characteristic curve of the centrifugal pump
The head, flow, power and efficiency are the main performance parameters of the centrifugal pump. The relationship between these parameters can be determined by experiment. The centrifugal pump production department uses the curve of the basic performance parameters of its products, and these curves are called the characteristic curve of the centrifugal pump. For reference for the use of pumps and operations for the use of department.

The characteristic curve is tested under a fixed speed, and it is only suitable for the speed. Therefore, the value of the speed n is indicated on the characteristic curve map. Figure 2-6 is the domestic 4B20 centrifugal pump when n = 2900R/min Feica. Essence There are three curves on the picture
1. H -q curve
The H -Q curve indicates the relationship between the flow Q and the head of the pump and the press H. The pressing head of the centrifugal pump is reduced as the flow increases within a large flow range. Different types of centrifugal pumps have different shapes of the H -Q curve. If some curves are flat, it is suitable for occasions with small changes in the head and large flow changes; some curves are steep, and it is suitable for occasions with large changes in the head of the head without allowing traffic changes.
2. N -Q curve
The N -Q curve indicates the relationship between the flow Q and axis power N of the pump, and the n increases with the increase of Q. Obviously, when Q = 0, the power consumption of the pump shaft is the least. Therefore, when starting the centrifugal pump, in order to reduce the startup power, the outlet valve should be closed.
3. η -q curve
-q curve represents the relationship between the flow Q and efficiency of the pump. At the beginning, it increased with the increase of Q, and after reaching the maximum value, it decreased with the increase of Q. The maximum value of this curve is equivalent to the highest efficiency point. The pump operates at the corresponding pressure head and traffic of this point, and its efficiency is the highest. So this point is the design point of the centrifugal pump. When choosing a pump, I always hope that the pump is working at the highest efficiency, because the operation is the most economical under this condition. However, in fact, pumps are often impossible to operate under this condition. Therefore, it is generally necessary to specify a scope of work, called the high-efficiency area of the pump, as shown in Figure 2-6 twisting lines. The efficiency of high -efficiency zones should not be less than 92%of the highest efficiency. All the pumps are marked on the nameplate, the head, the head and power at the highest efficiency. The centrifugal pump product catalog and instructions also often indicate the flow of traffic, head and power range of the highest efficiency zone.
- The impact of the rotation of the centrifugal pump on the characteristic curve
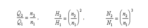
The characteristic curve of the centrifugal pump is determined at a certain speed. When the speed is changed from N1 to N2, the approximation of the flow, head, and power of power is

Formula (2-6) is called the law of proportions. When the speed change is less than 20%, the efficiency can be considered unchanged, and the calculation error is not large.
- The influence of liquid physical properties
The characteristic curve provided by the pump production department is obtained with water for experiments. When the nature of the transported liquid is large and the water is large, the effect of viscosity and density on characteristic curves should be considered.
1. Effect of viscosity:
The greater the viscosity of the transported liquid, the more energy in the pump body. As a result, the pressure head and flow of the pump must be reduced, the efficiency decreases, and the axis power should be increased, so the characteristic curve changes.
2. Impact of density:
The pressing head of the centrifugal pump has nothing to do with density, which can be explained conceptually. At a certain speed, the centrifugal force is proportional to the density of the liquid. However, the pressure of the liquid due to the effect of centrifugal force is equivalent to the pressure formed by the centrifugal force of the impeller exit, and then the multiplier of the liquid density and gravity acceleration. The effect of density on the head is eliminated. However, the axis power of the pump changes with the density of the liquid. Therefore, when the density of the transport liquid is not at the same time as water, the N-q curve provided by the pump cannot be used, but the calculation should be re-calculated at (2-4A) and (2-5).

3. Impact of solubility:
If the transported liquid is a water solution, the change of concentration will inevitably affect the viscosity and density of the liquid. The higher the concentration, the greater the difference from the water. The effect of concentration on the characteristic curve of the centrifugal pump is also reflected in viscosity and density. If the transport liquid contains solid substances such as suspension, the pump characteristic curve is also affected by the type of solid substances and the distribution of granularity in addition to the concentration.
Ruite pump have professional group, can help customer find the right pump with the most economic price.
Email: rita@ruitepump.com
Web: www.ruitepumps.com
Whatsapp: +8619933139867
Post time: Jul-07-2023



